72 Volt Dc Solar Güneş Enerjili Kademeli Dalgıç Pompa 43 Mss 3.44 m³/h 600 Watt
Kategori
Marka
Stok Kodu
4CSIP-D72-60-3-600
Stok Durumu
Yok
Garanti Süresi
12 Ay
Havale
7.000,30 TL
(%3,00 havale indirimi) Kdv Dahil
Ücretsiz Kargo
Stokta olan ürünler 17:00' a kadar kargoda !
%3
7.216,80 TL
Kdv Dahil
7.440,00 TL
*734,97 TL den başlayan taksitlerle!!
Ürünü Satın Alırken Dikkat Edilmesi Gereken Hususlar
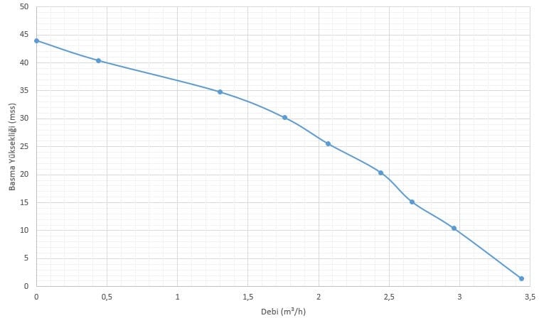
Ürünün basma yüksekliğine göre istediği amper gücü değişmektedir.
250 watt panelden 3 adet kullanıp SERİ bir şekilde bağlanması gerekiyor.
Bu ürün için aşağıda basma yüksekliğe göre saatlik tonajı ve istediği amper gücü belirtilmiştir, lütfen sipariş verirken bu verileri dikkate alarak sipariş veriniz.
| Voltaj | Amper (A) | Güç Watt (W) | Debi (m³/h) | Basma Yüksekliği (Metre) | Hız Devir (Rpm) | Verimlilik (%) |
| 72.2 | 4.49 | 324.4 | 0 | 43.95 | 1509 | 0 |
| 72.1 | 5.45 | 392.9 | 0.44 | 40.38 | 1499 | 12.20 |
| 72.1 | 6.22 | 448.4 | 1.30 | 34.77 | 1501 | 27.50 |
| 72.0 | 6.60 | 475.2 | 1.76 | 30.18 | 1502 | 30.50 |
| 72.1 | 6.80 | 489.9 | 2.07 | 25.49 | 1499 | 29.40 |
| 72.1 | 6.86 | 494.2 | 2.44 | 20.39 | 1504 | 27.40 |
| 72.0 | 6.86 | 494.6 | 2.66 | 15.19 | 1502 | 22.70 |
| 72.1 | 6.76 | 486.9 | 2.96 | 10.40 | 1498 | 17.20 |
| 72.0 | 6.62 | 477.3 | 3.44 | 1.42 | 1504 | 2.80 |

72 Volt Dc Solar Güneş Enerjili Kademeli Dalgıç Pompa Nedir ?
Dc elektrikle çalışan solar pompa elektrik enerjisinin bulunmadığı yada güneş enerjisinden yararlanmak istenilen alanlarda kullanılabilen üründür. Direk güneş paneline bağlantı yapılarak araya başka bir ekipman kullanmadan çalışabildikleri için kurulumu oldukça basittir.
- 600 watt lık bir motoru mevcuttur ve güneş enerjisi ile rahatlıkla çalışabilmektedir.
- 4" 10 cm lik dış çap
- Minimum 3 adet 250 watt güneş paneli seri bağlanarak çalıştırılabilir.
- Daha uzun çalışma süresi elde etmek için panel sayısı artırılabilir.
- Ürün Akü ilede çalıştırılabilir.
- Güneş enerji sisteminde araya şarj kontrol cihazı ve akü eklenirse daha güvenli ve güneşin olmadığı yada az olduğu zamanlarda da aküden beslenerek çalışabilirler.
72 Volt Dc Solar Güneş Enerjili Kademeli Dalgıç Pompa Teknik Özellikleri
- Votlaj : 72 Volt
- Akım: 6.86 Amper
- 600 Watt
- Maksimum Basma Yüksekliği: 43 metre
- Saatte Maksimum 3.44 ton su verebilir.
- Çıkış: 1"
- 20 metre Kablo uzunluğu
- 1" hortum rekoru ile gönderilmektedir.
- Kademe Sayısı : 7 Kademe
Kullanım Alanları
- İçme Suyu
- Elektriğin olmadığı yerlerde
- Hayvanlar için su temini
- Oyun Parkları
- Güneş enerjisi kullanarak su temini


KAMPA, 1990'dan beri Türkiye çapında güvenilir lider Havalandırma ve Sulama Malzemeleri satıcı, imalatçı ve ithalatçı markasıdır.
BURSA, TÜRKİYE'de bulunuyoruz ve faaliyet gösteriyoruz, siparişlerinizi BURSA, TÜRKİYE depomuzdan göndereceğiz.
Sipariş verdiğiniz tüm ürünler KAMPA güvencesi altındadır.
MÜŞTERİLER ÜRÜNLERİMİZİ SEVİYOR VE GLOBAL OLARAK GÖNDERİYORUZ...
SAYGILARLA,
KAMPA TÜRKİYE TAKIMI
| Ürün Tipi | : | Tek Pompa |
| Motor Tipi | : | Kömürlü |
| Voltaj | : | 72 Volt |
| Güç (Watt) | : | 600 Watt |
| Max. Basma Yüksekliği (mss) | : | 43 Metre |
| Max Debi (m³/h) | : | 3.44 m³/h |
| Max. Amper | : | 6.75 Amper |
Bu ürüne ilk yorumu siz yapın!
Ürün hakkında henüz soru sorulmamış.
Urun takibiniz cok guzel. Urunu alinca tum asamalar mail olatak bilgilendirme yapiliyor ve ayni gun kargoya verilmesini sagladiginiz icin tesekkurler kampa
E... E... | 20/05/2026
Ürün güzel
hasan aslan | 03/04/2026
Hızlıca elime ulaştı
emre hasdemir | 15/03/2026
Çok hızlı bir şekilde elimize ulaştı çok teşekkür ederim
Ramazan Subaşı | 25/02/2026
Gayet başarılı hızlı şekilde aradığın herşeyi buluuorsun
d... g... | 06/02/2026
Uygun fiyatlı, kaliteli ürünler var. Paketleme ve Kargolama Üzmedi. Teşekkürler.
Ahmet Timuçin KATIRCIOĞLU | 25/01/2026
Hızlı kargo
Gökhan Görken | 12/01/2026
Burada aradığınız ürünlerin en güzeli en kalitelisi en ucuzu var
M... A... | 05/01/2026
Hızlı kargolama ve uygun fiyat için teşekkürler
Ishak Celikcan | 23/12/2025
Yeterince aydınlatıcı
M... Ü... | 11/12/2025