48 Volt Dc Solar Güneş Enerjili Kademeli Dalgıç Pompa 30 Mss 2.60 m³/h 400 Watt
Kategori
Marka
Stok Kodu
4CSIP-D48-50-3-400
Stok Durumu
Yok
Garanti Süresi
12 Ay
Havale
5.875,26 TL
(%3,00 havale indirimi) Kdv Dahil
Ücretsiz Kargo
Stokta olan ürünler 17:00' a kadar kargoda !
%20
6.056,97 TL
Kdv Dahil
7.571,22 TL
*616,85 TL den başlayan taksitlerle!!
Tavsiye Edilen Ürünler
48 Volt Dc Pompa Satın Alırken Dikkat Edilmesi Gereken Hususlar
48 volt dc dalgıç pompa basma yüksekliğine göre istediği amper gücü değişmektedir.
48 v dc pompa 250 watt panelden 2 adet kullanıp SERİ bir şekilde bağlanması gerekiyor.
48 volt dalgıç pompa çalışmasını sağlayacak ihtiyaç duyabileceğiniz panel, kablo, konnektör gibi ekipmanlara aşağıdaki tavsiye edilen ürünler kısmından ulaşabilirsiniz.
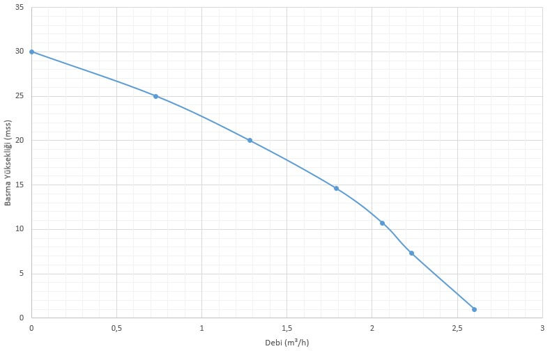
Dc pompa 48 volt için aşağıda basma yüksekliğe göre saatlik tonajı ve istediği amper gücü belirtilmiştir, lütfen sipariş verirken bu verileri dikkate alarak sipariş veriniz.
| Voltaj | Amper (A) | Güç Watt (W) | Debi (m³/h) | Basma Yüksekliği (Metre) | Hız Devir (Rpm) | Verimlilik (%) |
| 48 | 4.45 | 213 | 0 | 29.98 | 0 | 0 |
| 47.9 | 6.01 | 288 | 0.73 | 24.88 | 0 | 17.10 |
| 47.9 | 6.68 | 319 | 1.28 | 19.88 | 0 | 22.70 |
| 47.9 | 6.86 | 328 | 1.79 | 14.58 | 0 | 21.70 |
| 47.8 | 6.78 | 324 | 2.06 | 10.70 | 0 | 18.90 |
| 47.9 | 6.79 | 324 | 2.23 | 7.34 | 0 | 13.70 |
| 47.9 | 6.55 | 313 | 2.60 | 1.01 | 0 | 2.30 |

48v Dc Pompa Güneş Enerjili Kademeli Dalgıç Pompa Nedir ?
Dc elektrikle çalışan solar pompa elektrik enerjisinin bulunmadığı yada güneş enerjisinden yararlanmak istenilen alanlarda kullanılabilen üründür. Direk güneş paneline bağlantı yapılarak araya başka bir ekipman kullanmadan çalışabildikleri için kurulumu oldukça basittir.
- 400 watt lık bir motoru mevcuttur ve güneş enerjisi ile rahatlıkla çalışabilmektedir.
- 4" 10 cm lik dış çap
- Minimum 2 adet 250 watt güneş paneli seri bağlanarak çalıştırılabilir.
- Daha uzun çalışma süresi elde etmek için panel sayısı artırılabilir.
- 48v dc dalgıç pompa akü ile de çalıştırılabilir.
- Güneş enerji sisteminde araya şarj kontrol cihazı ve akü eklenirse daha güvenli ve güneşin olmadığı yada az olduğu zamanlarda da aküden beslenerek çalışabilirler.
48 Volt Dc Solar Güneş Enerjili Kademeli Dalgıç Pompa Teknik Özellikleri
- 48v dalgıç pompa voltaj : 48 Volt
- Akım: 6.79 Amper
- Güç : 400 Watt
- Maksimum Basma Yüksekliği: 30 metre
- Saatte Maksimum 2.60 ton su verebilir.
- Çıkış: 1"
- 20 metre Kablo uzunluğu
- 1" hortum rekoru ile gönderilmektedir.
- Kademe Sayısı : 7 Kademe
Kullanım Alanları
- İçme Suyu
- Elektriğin olmadığı yerlerde
- Hayvanlar için su temini
- Oyun Parkları
- Güneş enerjisi kullanarak su temini

| Ürün Tipi | : | Tek Pompa |
| Motor Tipi | : | Kömürlü |
| Voltaj | : | 48 Volt |
| Güç (Watt) | : | 400 Watt |
| Max. Basma Yüksekliği (mss) | : | 30 Metre |
| Max Debi (m³/h) | : | 2.6 m³/h |
| Max. Amper | : | 6.75 Amper |
| Çıkış | : | 1"-DN25 |
Bu ürüne ilk yorumu siz yapın!
Ürün hakkında henüz soru sorulmamış.
Urun takibiniz cok guzel. Urunu alinca tum asamalar mail olatak bilgilendirme yapiliyor ve ayni gun kargoya verilmesini sagladiginiz icin tesekkurler kampa
E... E... | 20/05/2026
Ürün güzel
hasan aslan | 03/04/2026
Hızlıca elime ulaştı
emre hasdemir | 15/03/2026
Çok hızlı bir şekilde elimize ulaştı çok teşekkür ederim
Ramazan Subaşı | 25/02/2026
Gayet başarılı hızlı şekilde aradığın herşeyi buluuorsun
d... g... | 06/02/2026
Uygun fiyatlı, kaliteli ürünler var. Paketleme ve Kargolama Üzmedi. Teşekkürler.
Ahmet Timuçin KATIRCIOĞLU | 25/01/2026
Hızlı kargo
Gökhan Görken | 12/01/2026
Burada aradığınız ürünlerin en güzeli en kalitelisi en ucuzu var
M... A... | 05/01/2026
Hızlı kargolama ve uygun fiyat için teşekkürler
Ishak Celikcan | 23/12/2025
Yeterince aydınlatıcı
M... Ü... | 11/12/2025